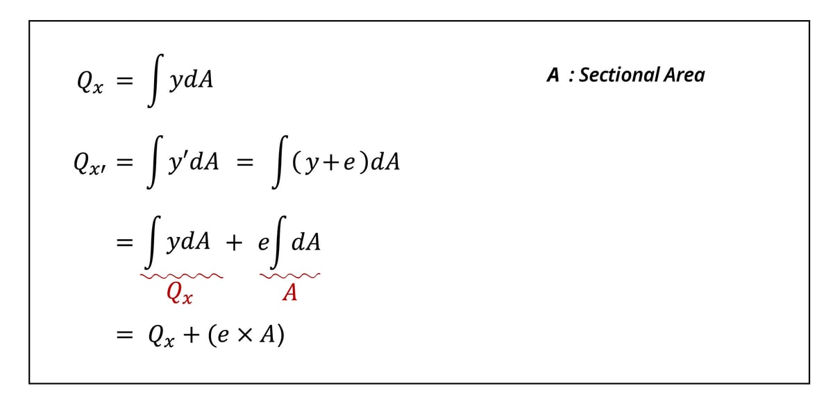
1st Moment Of Area

1st Moment Of Area. Moment of Area Formulas Circles, Triangles, and Rectangles For simple symmetrical shapes, the position of the centroid is obvious What is the First Moment of Area? The first moment of area is the measurement of the beam's sectional area relative to an axis

First moment of area
First moment of area from www.slideshare.net

D.J.Dunn 3 WORKED EXAMPLE 1 Find the formula for the first moment of area for rectangle about its. The first moment of area, sometimes misnamed as the first moment of inertia, is based on the mathematical construct of moments in metric spaces

First moment of area

D.J.Dunn 3 WORKED EXAMPLE 1 Find the formula for the first moment of area for rectangle about its. This will be when the sum of the first moments of area are equal from a datum or reference point. The statical or first moment of area (Q) simply measures the distribution of a beam section's area relative to an axis

Introduction to First Moment of Area & Centroid YouTube. For complex shapes: For a complex shape consisting of more than one simple geometric shape, the first moment of area is the summation of the product of the area of each section and the distance between its centroid from the reference axis. Hello, I am having difficulty understanding how the first moment of area is a useful quantity, or even how the formula represents its physical interpretation.So apparently the physical meaning of the first moment of area is where the center of mass of a uniformly dense object is, and that is found by multiplying an infinitesimal area by the distance of that area from the axis.

PPT Properties of Area PowerPoint Presentation, free download ID6053840. For this simple case we can multiply the whole area by the distance (from its middle to the reference line) The SI unit for first moment of area is a cubic metre (m 3)